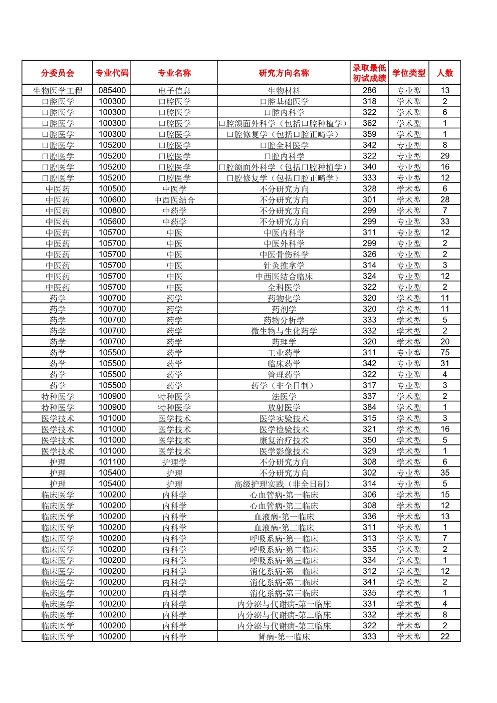
考研报录比是考研学子在选择院校,选择专业时非常重要的参考依据,通过历年报录比可以清晰地了解到要报考专业的报名情况、录取情况。南方医科大学发布了2021年考研报录比统计,小编整理了“南方医科大学2021考研报录比”的相关内容,希望对广大学子有所帮助!








以上就是小编整理的“南方医科大学2021考研报录比”的全部内容,更多关于南方医科大学2021考研报录比的信息,尽在“报录比”栏目,希望对广大学子有所帮助!
考研报录比是考研学子在选择院校,选择专业时非常重要的参考依据,通过历年报录比可以清晰地了解到要报考专业的报名情况、录取情况。南方医科大学发布了2021年考研报录比统计,小编整理了“南方医科大学2021考研报录比”的相关内容,希望对广大学子有所帮助!








以上就是小编整理的“南方医科大学2021考研报录比”的全部内容,更多关于南方医科大学2021考研报录比的信息,尽在“报录比”栏目,希望对广大学子有所帮助!
免责声明:本站所提供的内容均来源于网友提供或网络搜集,由本站编辑整理,仅供个人研究、交流学习使用,不涉及商业盈利目的。如涉及版权问题,请联系本站管理员予以更改或删除。