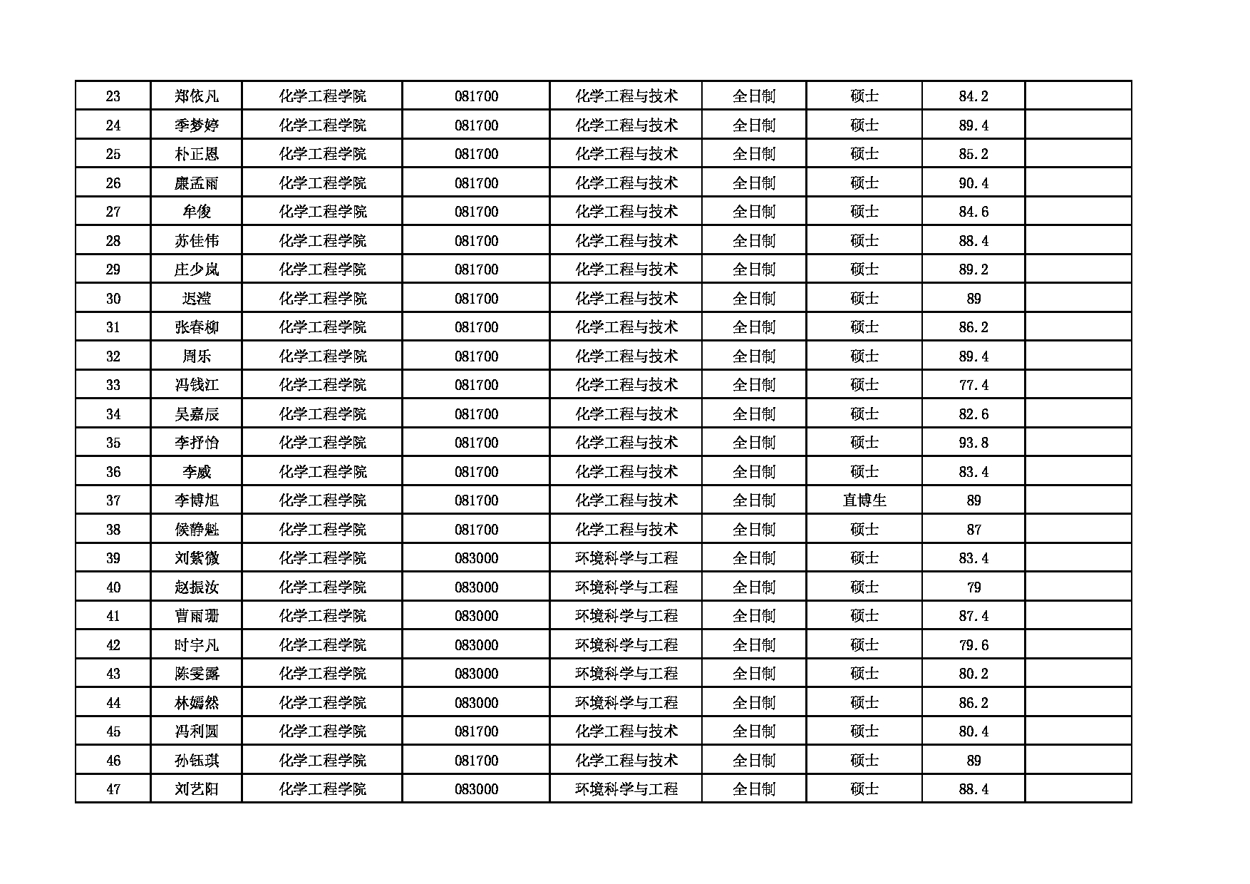
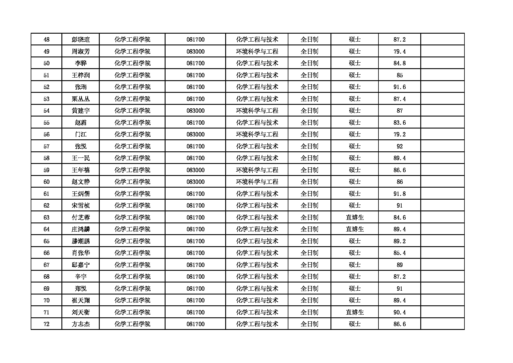
近日,全国各大研究生院校已公布2022研究生拟录取名单。今天考研营小编就整理了“2022考研拟录取名单:北京化工大学2022年化工学院推免生拟录取名单 ”的相关内容,请持续关注!




以上就是小编整理的“2022考研拟录取名单:北京化工大学2022年化工学院推免生拟录取名单 ”的全部内容,更多关于2022考研拟录取名单的信息,尽在“考研拟录取名单”栏目,希望对大家有所帮助!
近日,全国各大研究生院校已公布2022研究生拟录取名单。今天考研营小编就整理了“2022考研拟录取名单:北京化工大学2022年化工学院推免生拟录取名单 ”的相关内容,请持续关注!




以上就是小编整理的“2022考研拟录取名单:北京化工大学2022年化工学院推免生拟录取名单 ”的全部内容,更多关于2022考研拟录取名单的信息,尽在“考研拟录取名单”栏目,希望对大家有所帮助!