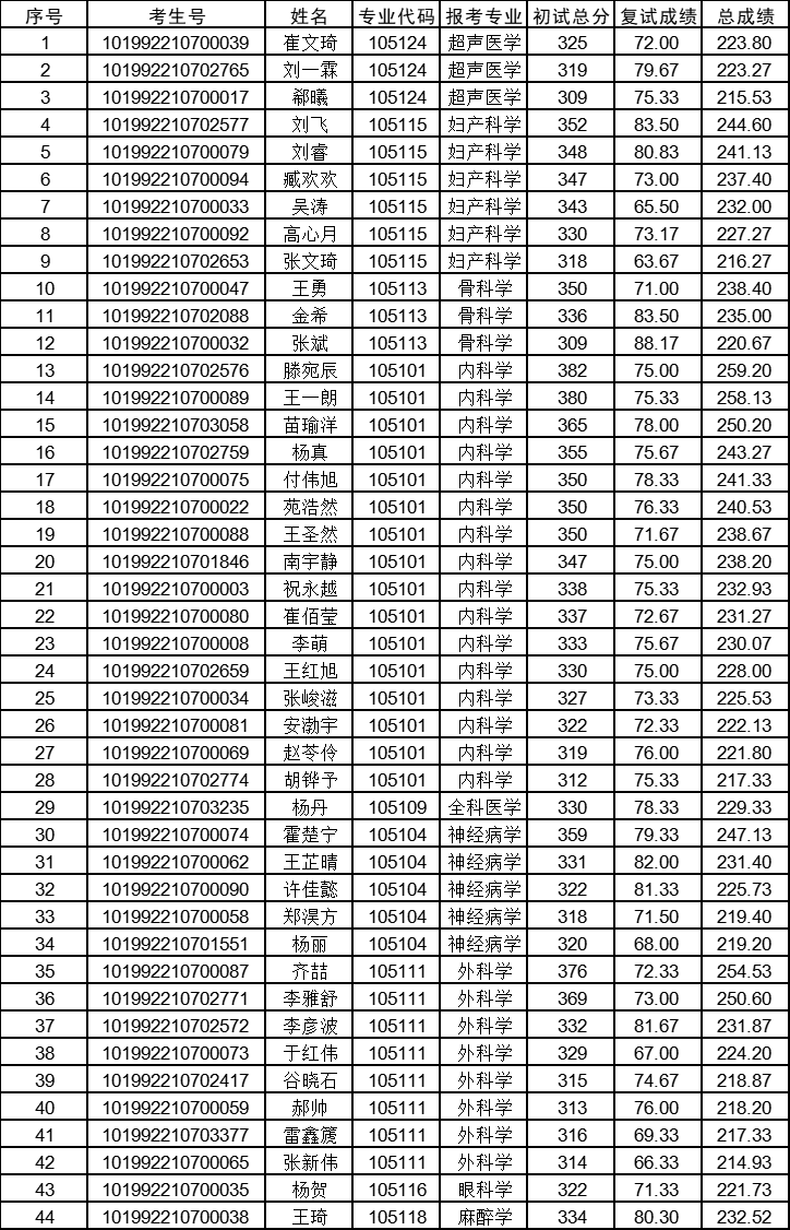
近日,全国各大研究生院校已公布2022年研究生拟录取名单。今天考研营小编就整理了“2022考研拟录取名单:长春中医药大学2022年硕士研究生招生考试临床医学各学科第一志愿考生拟录取”的相关内容,请持续关注!

以上公示期为2022年4月8日-19日,对上述公示的考生如有异议,可在4月19日11:00前将意见反馈到研招办,电话:0431-86172399,具体意见可发送到邮箱yz86172399@163.com,学校纪检监察电话:0431-86172532。
以上就是小编整理的“2022考研拟录取名单:长春中医药大学2022年硕士研究生招生考试临床医学各学科第一志愿考生拟录取”的全部内容,更多关于2022考研拟录取名单,长春中医药大学拟录取名单,考研拟录取名单的信息,尽在“考研拟录取名单”栏目,希望对广大学子有所帮助!
