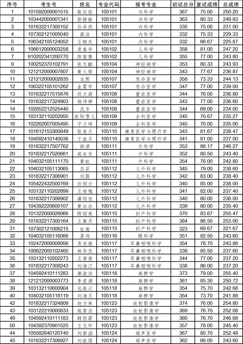
近日,长春中医药大学研究生招生部已公布2022年研究生拟录取名单。2022年研究生拟录取名单不仅对于2023年考研的同学很重要,对于下届考研的同学可用于分析考情。今天考研营小编就整理了“2022考研拟录取名单:长春中医药大学2022年硕士研究生招生考试临床医学院部分学科第一次调剂考生拟录取(一)”的相关内容,请持续关注!

以上公示期为2022年4月20日-29日,对上述公示的考生如有异议,可在4月29日11:00前将意见反馈到研招办,电话:0431-86172399,具体意见可发送到邮箱yz86172399 163.com,学校纪检监察电话:0431-86172525。
原文标题:长春中医药大学2022年硕士研究生招生考试临床医学院部分学科第一次调剂考生拟录取公示(一)
以上就是小编整理的“2022考研拟录取名单:长春中医药大学2022年硕士研究生招生考试临床医学院部分学科第一次调剂考生拟录取(一)”的全部内容,更多关于2022考研拟录取名单,长春中医药大学2022考研拟录取名单,佛山科学技术学拟录取名单,考研拟录取名单的信息,尽在“考研拟录取名单”栏目,希望对广大学子有所帮助!
