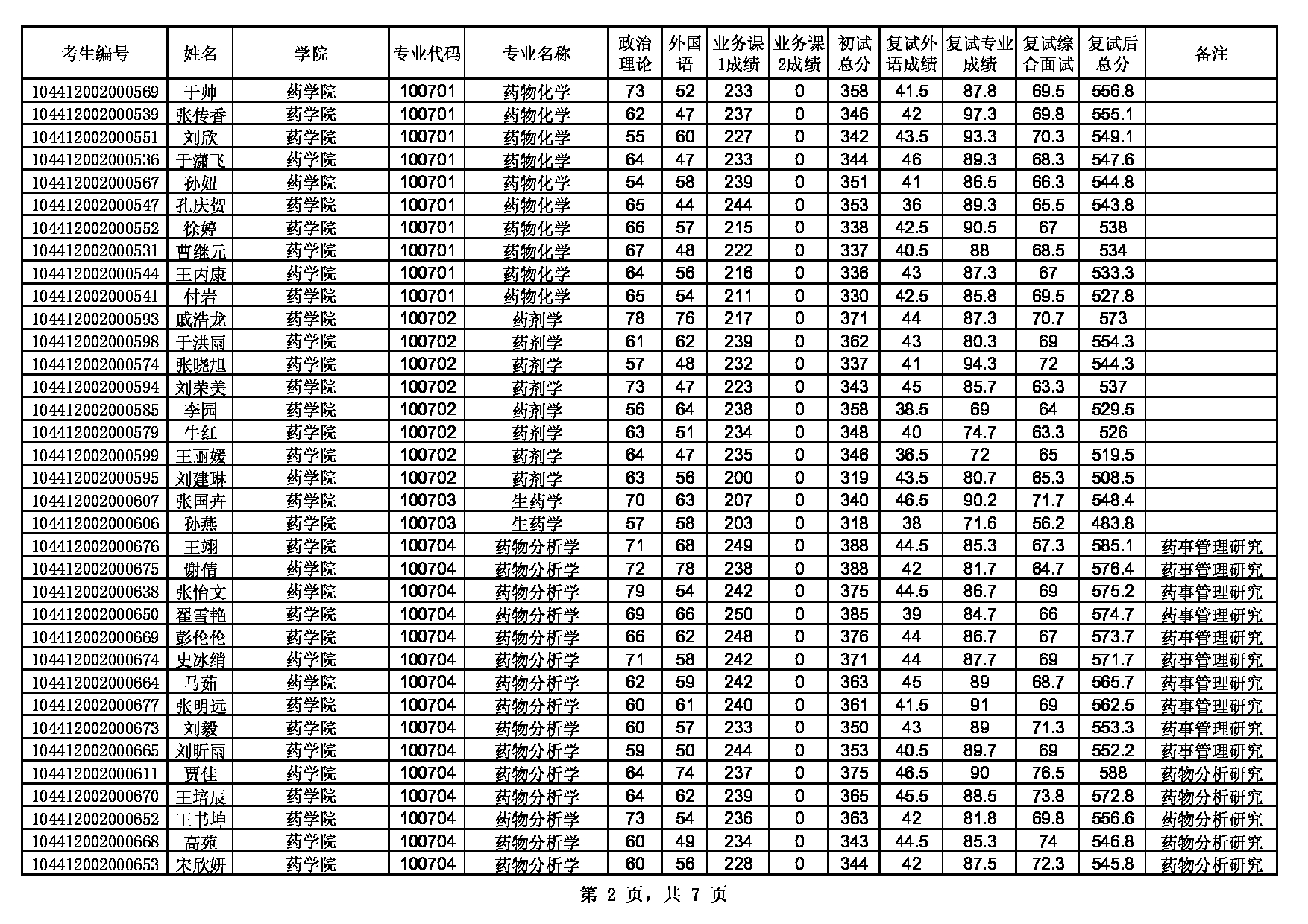
山东中医药大学录取名单已发布,考研录取名单不仅只有公示的作用,我们还能从名单中分析出专业的录取最低最高录取分数还有录取人数,对2021年考研评估上岸率起到的不和或缺的作用,为了同学们正确了解录取线,考研营小编为大家整理了《2022考研拟录取名单:山东中医药大学2022硕士研究生招生第一批次拟录取公示》名单。祝考研成功!






全文请下载附件查看:
以上就是小编整理的“2022考研拟录取名单:山东中医药大学2022硕士研究生招生第一批次拟录取公示”的全部内容,更多关于山东中医药大学2022年考研拟录取名单的信息,尽在“考研拟录取名单”栏目,希望对大家有所帮助!
