上海大学已公布2022研究生拟录取名单。2022年报考的学子可查询研究生拟录取名单查看录取详情。小编就整理了“2022考研拟录取名单:上海大学2022年硕士研究生拟录取名单”的相关内容,祝考研成功!
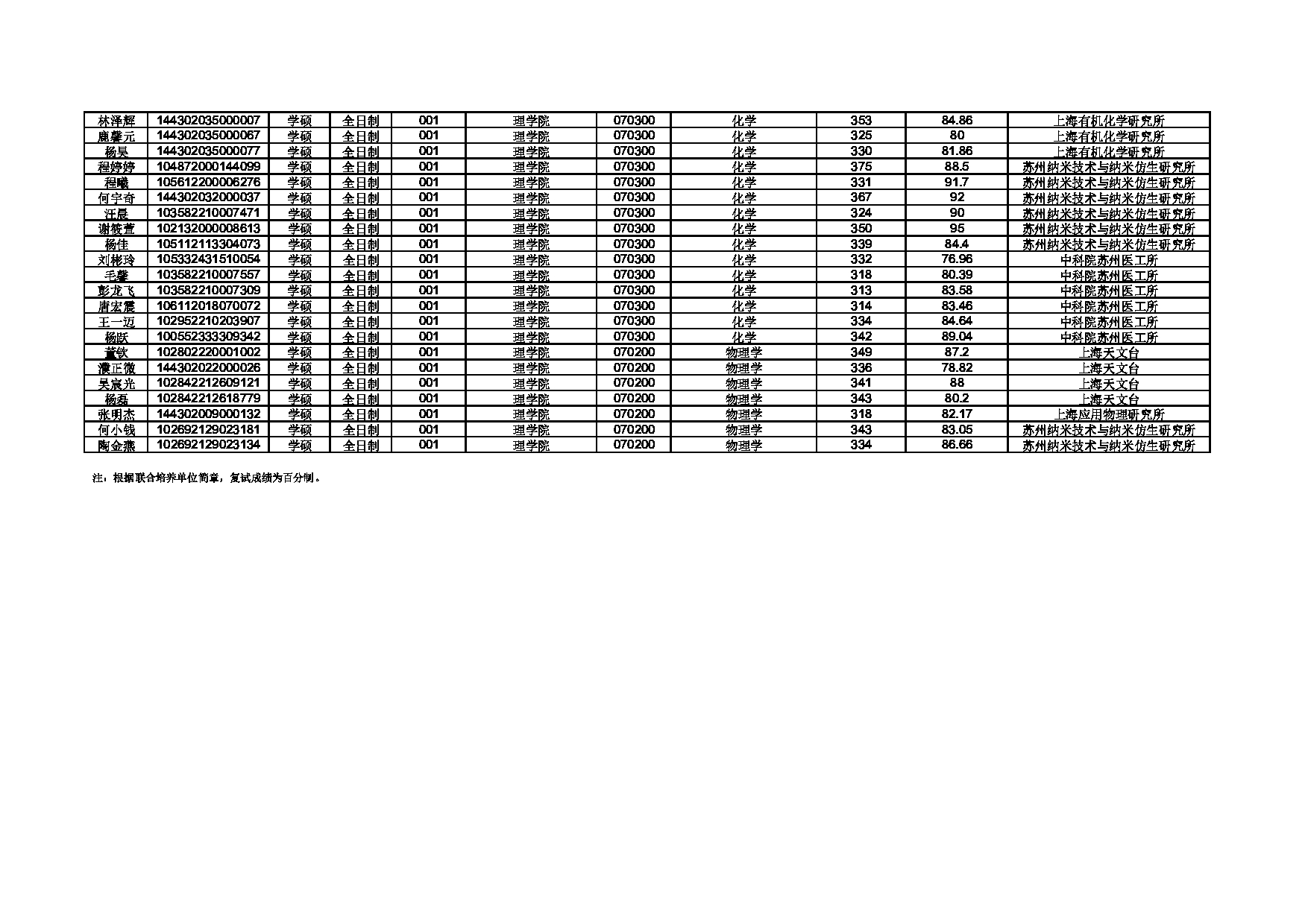
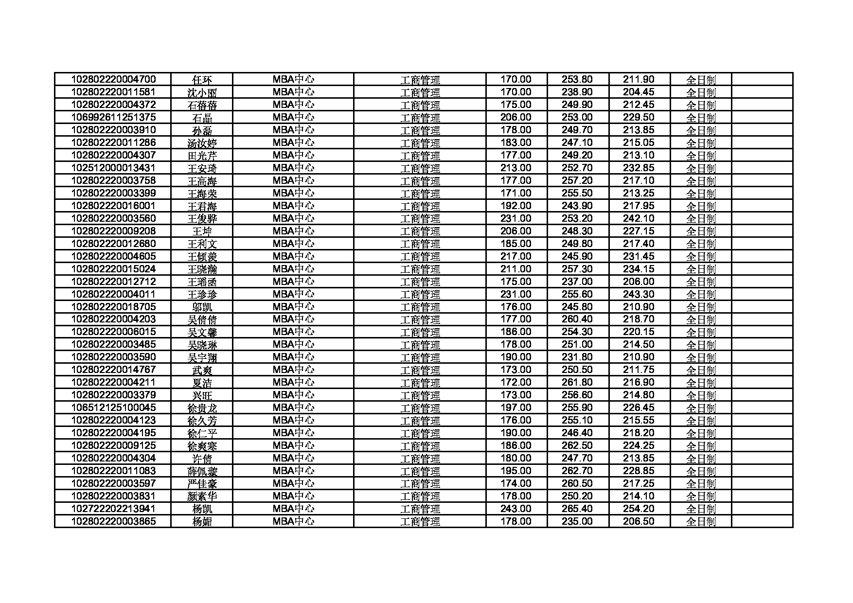
根据教育部有关文件要求,经全国硕士研究生招生考试初试选拔,我校招生学院组织复试,学校审核合格考生名单,现将我校2022年拟录取的硕士研究生名单(不含推免生)予以公示。公示期为10个工作日。
若对公示名单有异议,请于公示期内与我校研究生招生办公室联系。
联系电话:021-66133763
联系邮箱:yzb@oa.shu.edu.cn。
上海大学研究生院






以上就是小编整理的“2022考研拟录取名单:上海大学2022年硕士研究生拟录取名单”的全部内容,更多关于上海大学2022考研拟录取名单的信息,尽在“考研拟录取名单”栏目,下面我们一起来看看吧!
